Коллаген. Зачем он нам? — Alfabiom
Что такое коллаген: для чего нужен, норма, польза
Коллаген Фото — Mixyfotos.ru
Коллаген | это... Что такое Коллаген?
Презентация на тему: Модель тройной спирали кол...
Collagen Peptides — Коллаген Пептидс со вкусом ...
Коллаген картинки красивые - Фото подборки
Коллаген формула - YouTube
Живой коллаген | Главная
КОЛЛАГЕН что нужно знать | Гидролизированный ко...
Коллаген | ЦДПО InstructorPRO
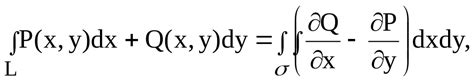
3. Формула Грина и ее применение.
Что такое коллаген I типа?
Коллаген NL International Биологически активная...
Презентация на тему: КОЛЛАГЕН
Коллаген Формула Легкости Гидролизованный морск...
Основные симптомы и синдромы в нефрологии Основные
Японский коллаген — Tomodachi
Коллагены
3 ton hydraulic car store jack
Разбираемся как правильно выбрать Коллаген. Сра...
Коллаген Формула от NL - YouTube
Коллаген что это такое и для чего он нужен. Пол...
Коллаген: из чего получают, источники
Коллаген Глицин - hudeem100115
Молекулы в биологии - online presentation
Коллаген НЛ / Купить Greenflash Collagen Formul...
Collagen green flash forfula ( Коллаген Грін Фл...
Типы и функции коллагена
Гидрат и гидролизованный коллаген – в чем разница
О формировании коллагена
Формула химического построения. Коллаген фибрил...